就是爱电竞!我的电竞世界,我做主!

浅谈:小鱼的非永久偷的敏捷与时间的关系

2019-09-28 20:19:44          来源:DotA中文wiki  作者:韩松

  原文首发于DotA中文wiki。

  为了解答这个问题,首先要思考一下敏捷随时间的变化趋势。

  注:为了方便演示,以下讨论小鱼默认25级,并且学习了25级+80秒能量转移持续时间的天赋。

  第一阶段

  当小鱼刚开始偷属性的时候,由于偷的敏捷不多,还没到攻速上限700,因此每一次偷属性都会令下一次偷属性的间隔越来越短,简言之:属性偷的越来越快。

  第二阶段

  当小鱼偷取的敏捷足以达到其攻速上限的时候,攻击间隔不再减小,在这段时间内,偷属性的间隔是不变的,简言之:匀速偷属性。

  第三阶段

  此时时间来到了180秒+,第一次偷来的敏捷要还回去了,所以敏捷会开始失去,并且失去地越来越快;然而,由于此时小鱼仍在源源不断地偷属性,因此总体来说敏捷仍然是增加的,但是没有第二阶段增加的那么快了。

  第四阶段

  当失去敏捷的速度与获得敏捷的速度相同的时候,敏捷总量便达到一个动态平衡,此时总体来看,总敏捷(几乎)维持不变。

  上面是大致的思路,那么如何计算最大敏捷有多少呢?

  因为我们探究的是敏捷总量与时间的关系,因此要确定:每次攻击用时多少,攻击后敏捷为多少。

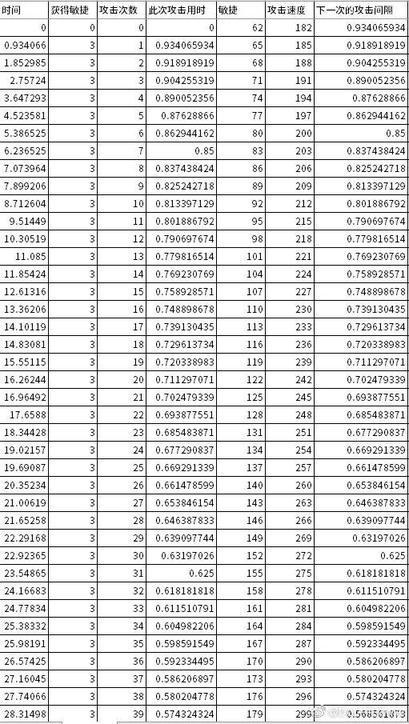
  1. 根据攻击速度公式(O网页链接),可以用Excel公式写出当前敏捷与下一次攻击用时之间的关系,再使用Excel的累加公式,便可以得到总敏捷与总时间的关系,如图1。

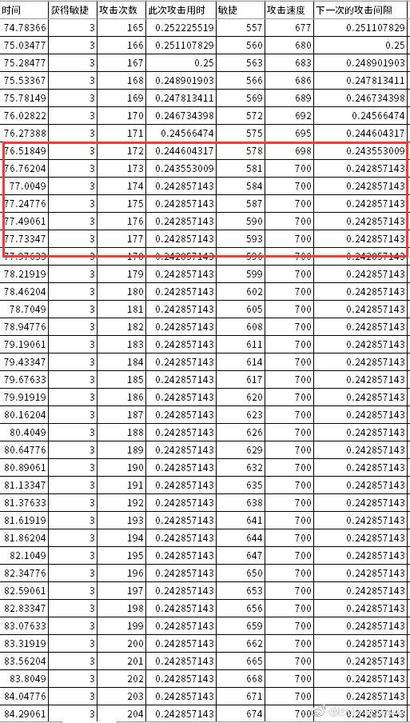
  2. 需要特别注意攻击速度到达700后的数据。当攻击速度大于700时,攻击间隔不再变化,所以后面的攻击速度都应改为700,如图2。

  3. 当第一次攻击发出180秒后,这3点敏捷就该还回去了,所以应该另起2列记录失去敏捷与时间的关系,时间为前面记录时间+180s,敏捷为-3,如图3。

  4. 然后,将前3步的“时间与获得敏捷”放在同一竖列,将时间由小到大排列,再对敏捷进行累加,就可以得到敏捷随时间的变化趋势了,如图4。

  5. 将得到的敏捷与时间表格复制到OriginLab软件中,时间为X轴,敏捷为Y轴,生成折线图,再经过一些简单的PS,我们就得到了答案:小鱼偷属性的敏捷上限是2288,如图5。

  验证

  在房间中创建一个满级裸装学习25级左天赋的小鱼,攻击傀儡目标,观察敏捷稳定后的数值,如图6。可以看到,能量转移的层数稳定在741~742之间波动,也就是2223~2226点偷取敏捷,再加上自身的62点敏捷,2226+62=2288,实验结果与理论符合的很好。

关键词:

相关资讯+more

最新+More

使用微信扫描上方二维码

打开网页后点击右上角分享按钮